The Flip Flap Railway was the first roller coaster to go upside down in the United States and was notorious for being so extreme it broke rider’s necks. But was it truly that intense or was it an urban legend passed along from coaster blog to YouTube vlog? Let’s put the myth to the test with a little logic, math, and physics. [Sources are listed at the end of the article.]
Flip Flap Railway History
The Flip Flap Railway, also known as the Centrifugal Cycle Railway, was originally tested in Toledo, Ohio “carrying thousands of passengers without an accident of any kind” [1] before being installed at Captain Paul Boyton’s Sea Lion Park in New York in 1895. The coaster was not a financial success, as riders complained of whiplash, neck injuries, and back strains, thus there were not many repeat customers. After an exceptionally rainy season in 1902, Sea Lion Park closed, the Flip Flap Railway was dismantled, and Fred Thompson and Skip Dundy’s Luna Park was built in its place [6].

The design of the Flip Flap was unlike any roller coaster you’ll see today. Inventor Lina Beecher’s patent explains how it works:
“The track consists of a single rail in the center of the roadbed on the upper surface of the ties and two rails on the undersurface, one at each edge. The single rail resting on the ties bears the weight of the vehicle and its load entire, the other two serving only as guide and safety rails and receiving only occasional touches from the beveled edge wheels which work in grooves on the lower sides of the rails. These are intended only to steady the car in case its load is unevenly distributed, and to prevent swaying from wind force or other causes.
Instead of guide wheels the rib E of the wheel, however, lying between the two sections of the rail prevents lateral displacement and insures the true running.” [3]

Monorailway patent by Lina Beecher: https://patents.google.com/patent/US695137A/en
“There are six wheels on each car. Two of large diameter, one trailing after the other exactly as in bicycle construction, run in grooves in the upper rail, while four wheels of smaller diameter bear in the guide rails on the bottom edges. If the load on one side of the car be heavier than on the other, the two small wheels on the opposite side are brought into contact with the guide rail and keep the car from tilting.
If the load be evenly distributed, none of the four wheels on the underside will quite be in contact with the rail. Any swaying of the car is checked by the smaller wheels coming into contact with the under rails.” [1] Picture a bicycle where the training wheels are upstop wheels.

Quick CAD mockup of the Flip Flap Railway wheel arrangement based off the patent
The single cars seated two passengers. Many recent articles say that the cars were held in place at the top of the loop by centrifugal force alone, however, there were wheels on the underside of the track that would have prevented the car from falling off. Why John Miller gets credit for inventing the upstop wheel in 1912 but this patent for the Flip Flap Railway doesn’t get credit is a discussion for another day…
Some recent stories also claim there were no seatbelts. Looking at the grainy photograph below, it appears there is a belt present. Perhaps the confusion comes from this period newspaper article quote: “It will not even be necessary to strap the passengers in their seats to hold them in the car when it is inverted.” Just because they aren’t necessary doesn’t mean the belts weren’t present.

https://www.reddit.com/r/rollercoasters/comments/132n999/article_about_and_photo_of_the_flipflap_railway
How intense was the Flip Flap Railway?
The Flip Flap Railway had a pretty basic layout: the cars were hauled to the top of the hill (one newspaper article says by cable [2], another by chain [1]), made a left hand turn into the big drop, sped through the circular vertical loop, then returned to the station. The total height and speed are not known. Most figures mentioned in the newspaper articles appear to be complete guesses or purposeful exaggerations, including the top speed being between 100 to 200 miles per hour!
The only agreed upon statistic for the coaster is the diameter of the loop being 25 feet (7.62 meters). To make it all the way around without stalling, coaster cars hit the circle hard and fast, shoving rider’s heads into their chests as they changed direction with a sudden snap.
So, how intense exactly was the Flip Flap Railway’s loop?

https://www.youtube.com/watch?v=ye_1uSTXBI4
Accelerometers are used to measure accelerations on roller coasters which can then be used to calculate the g-forces. Early mechanical accelerometers were developed around 1923 by George L. Messerschmitt and others, using simple spring-mass systems to detect acceleration in aviation and automotive applications. The first piezoelectric accelerometer, which uses electrical charge from pressure changes, was invented in 1943 by Jerzy S. Lesniak for military aircraft. Electronic and MEMS (Micro-Electro-Mechanical Systems) accelerometers, like the tiny ones in your phone or smartwatch today, didn’t emerge until the 1970s-1990s. When Flip Flap Railway was operating in 1895, no reliable accelerometer technology existed yet.
Wikipedia states Flip Flap “could produce forces of approximately 12 G (120 m/s^2)” [4]. Wikipedia’s source is a 2008 physics book, Physics for Scientists and Engineers by Paul A. Tipler and Gene Mosca [5]. Here’s the excerpt:

While the book states “The Flip Flap Railway subjected riders to accelerations of up to 12 Gs” there is no explanation or breakdown for how they calculated that figure. So, did the Flip Flap Railway really exert 12G on to passengers? Let’s do the math.
When a coaster goes through a circular loop, riders experience centripetal acceleration at the bottom of the loop, where forces are highest. That acceleration is experienced as G-force. The formula is:

For a 25 foot diameter loop, radius r = 12.5 feet = 3.81 meters. What height and speed would be needed to hit 12 G? Solve for v.
G-force = 12 minus 1 for Earth’s gravity =11.
v = sqrt(G-force*r*g) = sqrt(11*3.81m*9.8m/s^2) = 20.3 m/s or 45.4 miles per hour.
How tall would it need to be to hit 45.4 miles per hour?

h = (20.3m/s)^2 / 2 * 9.1 m/s^2 = 21 meters or 68.9 feet.
So to hit 45.4 mph, the Flip Flap Railway would’ve needed a drop of about 69 feet — assuming no friction or air resistance, in reality it would’ve been a bit taller to compensate for resistance forces. To modern coaster enthusiasts, these numbers may seem reasonable, but we must remember this is 1895! Stats are hard to come by for this time period but RCDB shows most roller coasters during this era were in the 20 to 40 foot (6 – 12 meters) range. 45 mph and 69 feet are too great for this era. It seems the first recorded roller coaster to reach 60 feet in height was the Blue Streak Racer in 1913.
Disney’s Boardwalk Resort at Walt Disney World has a model of the Flip Flap Railway:

Assuming the model is to scale, you can see the highest point is less than the height of two vertical loops stacked on top of each other, meaning the ride is less than 50 feet tall.

While there isn’t a clear side view, even in old photographs you can tell the drop is not three or even two times the height of the loop:

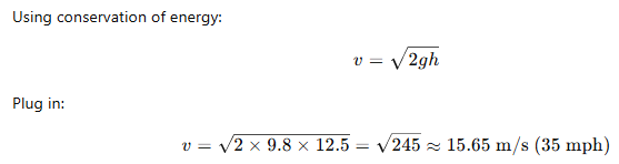
Instead of a top speed of 45 mph and 69 feet tall, let’s check more realistic figures:
Let’s estimate the height of the drop (h) to be 41 ft = 12.5 m

Top speed (v) = 35 mph = 15.65 m/s

From a 41 foot height, the G force would be 7.5 G.

While not as eye popping number as 12 G, 7.5 G is still extreme and would not be allowed to operate today. The ASTM F24 Committee on Amusement Rides and Devices was officially formed in 1978 to develop safety standards for amusement rides, devices, water parks, and inflatable attractions. Below are the acceleration limits set by ASTM F24. As you can see, the max G limit is 6 G but the duration must be for less than 0.8 seconds.

Art of Engineering, https://www.youtube.com/watch?v=4q2W5SJc5j4&t=409s
In conclusion, Flip flap Railway could have hit 12 G if the speed was fast enough. However, it is unlikely the structure was tall enough to obtain the velocity needed. While the exact height is unknown, the real Gs were probably in the 6 – 8 range.
It’s unclear if anyone actually broke a bone on the Flip Flap Railway but it would not be surprising considering the rapid front-to-back motion rider’s heads would experience due to the instantaneous onset of acceleration combined with the lack of any headrest on the vehicle. “At first sight one would imagine the centrifugal railway was a sort of ‘perhaps’ arrangement – perhaps you’ll break your neck and perhaps you won’t; but there weren’t any necks broken yesterday…” [2]
Shout out to Paul Gregg for the inspiration behind this article.
References:
[1] https://www.reddit.com/r/rollercoasters/comments/132n999/article_about_and_photo_of_the_flipflap_railway/
[2] https://www.reddit.com/r/rollercoasters/comments/14m4v7j/article_about_flip_flap_railway_in_1900_confirms/#lightbox
[3] https://patents.google.com/patent/US695137A/en
[4] https://en.wikipedia.org/wiki/Flip_Flap_Railway
[5] https://books.google.com/books?id=AttDBYgLeZkC
[6] The Golden Age of Roller Coasters by David W. Francis and Diane DeMali Francis
[7] https://www.westland.net/coneyisland/articles/sealionpark.htm
[8] https://www.astm.org/membership-participation/technical-committees/committee-f24


Art of Engineering, https://www.youtube.com/watch?v=4q2W5SJc5j4&t=409s





This is a fantastic article, and really well researched. After you mentioned to me on LinkedIn that the Flip Flap Railway had upstop wheels I did a bit of Googling. I didn’t do the maths that you’ve done, but I also found it unlikely that it’d have hit 12g. While the clothoid loop reduces g forces, there are quite a few coasters out there where the loops look reasonably round. For example on Pinfari Zyklon coasters, and on some of the Schwarzkopf coasters the loops look relatively round, compared to something like a B&M. It seemed unlikely to me that being round would have made such a big difference. So thank you for crunching the numbers and proving it.
Excellent article Nick. What an interesting design.